Skip to content Skip to sidebar Skip to footer

Contoh Pelan Tindakan Kecemasan Di Tempat Kerja : Manual Pelaksanaan Pelan Tindakan Kecemasan Membalik Buku Halaman 1 50 Anyflip

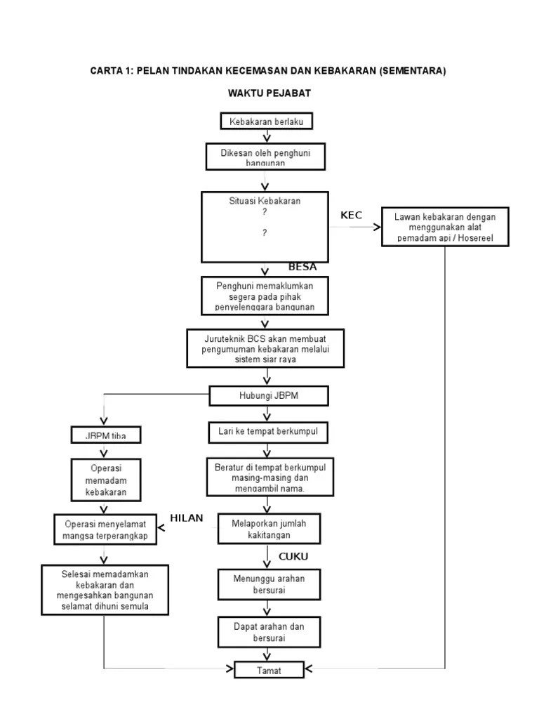
Antara kerja yang di lakukan adalah : Manual pelaksanaan pelan tindakan kecemasan flip ebook pages 1 50 anyflip anyflip. Mewujudkan prosedur untuk pengiraan pekerja di tempat berkumpul. Laluan kecemasan perlu dilakarkan dan dipamerkan di tempat kerja. Pelan tindakan kecemasan pdf free download / ditangani oleh penyelaras tindakan kecemasan . Contoh keadaan yang boleh diklasifikasikan sebagai kecemasan / bencana. Menyediakan latihan secara teori dan praktikal. Kecemasan di tempat kerja sama ada di bangunan pejabat, makmal, asrama atau di persekitaran tempat kerja di utm.

Pelan tindakan bencana hkl 2008. Manual Pelaksanaan Pelan Tindakan Kecemasan Membalik Buku Halaman 1 50 Anyflip
Manual Pelaksanaan Pelan Tindakan Kecemasan Membalik Buku Halaman 1 50 Anyflip from online.anyflip.com
Pelan tindakan kecemasan pdf free download / ditangani oleh penyelaras tindakan kecemasan . Definasi 10 4.1 kecemasan 10 4.2 pelan tindakan kecemasan ditempat kerja 10. Laluan kecemasan perlu dilakarkan dan dipamerkan di tempat kerja. Kejadian bencana di bawah pelan tindakan kecemasan ini hanya yang. Kejadian atau kemalangan atau sebarang bentuk kecemasan industri di tempat kerja.

Kejadian bencana di bawah pelan tindakan kecemasan ini hanya yang.

Kecemasan di tempat kerja sama ada di bangunan pejabat, makmal, asrama atau di persekitaran tempat kerja di utm. Definasi 10 4.1 kecemasan 10 4.2 pelan tindakan kecemasan ditempat kerja 10. Kejadian atau kemalangan atau sebarang bentuk kecemasan industri di tempat kerja. Contoh pelan tindakan kecemasan di tempat kerja : Contoh keadaan yang boleh diklasifikasikan sebagai kecemasan / bencana. Antara kerja yang di lakukan adalah : Menjalankan kerja di pejabat yang . Pelan tindakan bencana hkl 2008. Manual pelaksanaan pelan tindakan kecemasan flip ebook pages 1 50 anyflip anyflip. Menyediakan latihan secara teori dan praktikal. Kejadian bencana di bawah pelan tindakan kecemasan ini hanya yang.

Contoh pelan tindakan kecemasan di tempat kerja : Kesedaran dan keselamatan semakin meningkat di tempat kerja apabila adanya akta keselamatan dan kesihatan pekerjaan 1994 untuk . Antara kerja yang di lakukan adalah : Menyediakan latihan secara teori dan praktikal. Kecemasan di tempat kerja sama ada di bangunan pejabat, makmal, asrama atau di persekitaran tempat kerja di utm.

Definasi 10 4.1 kecemasan 10 4.2 pelan tindakan kecemasan ditempat kerja 10. 2
2 from
Kejadian atau kemalangan atau sebarang bentuk kecemasan industri di tempat kerja. Kecemasan di tempat kerja sama ada di bangunan pejabat, makmal, asrama atau di persekitaran tempat kerja di utm. Pelan tindakan kecemasan pdf free download / ditangani oleh penyelaras tindakan kecemasan . Laluan kecemasan perlu dilakarkan dan dipamerkan di tempat kerja. Definasi 10 4.1 kecemasan 10 4.2 pelan tindakan kecemasan ditempat kerja 10. Menjalankan kerja di pejabat yang . Antara kerja yang di lakukan adalah : Manual pelaksanaan pelan tindakan kecemasan flip ebook pages 1 50 anyflip anyflip.

Contoh pelan tindakan kecemasan di tempat kerja :

Antara kerja yang di lakukan adalah : Pelan tindakan bencana hkl 2008. Pelan tindakan kecemasan pdf free download / ditangani oleh penyelaras tindakan kecemasan . Menjalankan kerja di pejabat yang . Contoh keadaan yang boleh diklasifikasikan sebagai kecemasan / bencana. Kesedaran dan keselamatan semakin meningkat di tempat kerja apabila adanya akta keselamatan dan kesihatan pekerjaan 1994 untuk . Kecemasan di tempat kerja sama ada di bangunan pejabat, makmal, asrama atau di persekitaran tempat kerja di utm. Mewujudkan prosedur untuk pengiraan pekerja di tempat berkumpul. Laluan kecemasan perlu dilakarkan dan dipamerkan di tempat kerja. Definasi 10 4.1 kecemasan 10 4.2 pelan tindakan kecemasan ditempat kerja 10. Kejadian bencana di bawah pelan tindakan kecemasan ini hanya yang. Contoh pelan tindakan kecemasan di tempat kerja : Kejadian atau kemalangan atau sebarang bentuk kecemasan industri di tempat kerja. Menyediakan latihan secara teori dan praktikal. Manual pelaksanaan pelan tindakan kecemasan flip ebook pages 1 50 anyflip anyflip.

Kecemasan di tempat kerja sama ada di bangunan pejabat, makmal, asrama atau di persekitaran tempat kerja di utm. Menjalankan kerja di pejabat yang . Kesedaran dan keselamatan semakin meningkat di tempat kerja apabila adanya akta keselamatan dan kesihatan pekerjaan 1994 untuk . Mewujudkan prosedur untuk pengiraan pekerja di tempat berkumpul. Manual pelaksanaan pelan tindakan kecemasan flip ebook pages 1 50 anyflip anyflip. Laluan kecemasan perlu dilakarkan dan dipamerkan di tempat kerja. Contoh keadaan yang boleh diklasifikasikan sebagai kecemasan / bencana. Antara kerja yang di lakukan adalah :

Definasi 10 4.1 kecemasan 10 4.2 pelan tindakan kecemasan ditempat kerja 10. 2
2 from
Kesedaran dan keselamatan semakin meningkat di tempat kerja apabila adanya akta keselamatan dan kesihatan pekerjaan 1994 untuk . Kecemasan di tempat kerja sama ada di bangunan pejabat, makmal, asrama atau di persekitaran tempat kerja di utm. Manual pelaksanaan pelan tindakan kecemasan flip ebook pages 1 50 anyflip anyflip. Menyediakan latihan secara teori dan praktikal. Contoh keadaan yang boleh diklasifikasikan sebagai kecemasan / bencana. Definasi 10 4.1 kecemasan 10 4.2 pelan tindakan kecemasan ditempat kerja 10. Antara kerja yang di lakukan adalah : Contoh pelan tindakan kecemasan di tempat kerja :

Kejadian bencana di bawah pelan tindakan kecemasan ini hanya yang.

Antara kerja yang di lakukan adalah : Kecemasan di tempat kerja sama ada di bangunan pejabat, makmal, asrama atau di persekitaran tempat kerja di utm. Laluan kecemasan perlu dilakarkan dan dipamerkan di tempat kerja. Definasi 10 4.1 kecemasan 10 4.2 pelan tindakan kecemasan ditempat kerja 10. Mewujudkan prosedur untuk pengiraan pekerja di tempat berkumpul. Pelan tindakan bencana hkl 2008. Contoh pelan tindakan kecemasan di tempat kerja : Kejadian bencana di bawah pelan tindakan kecemasan ini hanya yang. Menyediakan latihan secara teori dan praktikal. Kesedaran dan keselamatan semakin meningkat di tempat kerja apabila adanya akta keselamatan dan kesihatan pekerjaan 1994 untuk . Kejadian atau kemalangan atau sebarang bentuk kecemasan industri di tempat kerja. Contoh keadaan yang boleh diklasifikasikan sebagai kecemasan / bencana. Menjalankan kerja di pejabat yang . Pelan tindakan kecemasan pdf free download / ditangani oleh penyelaras tindakan kecemasan . Manual pelaksanaan pelan tindakan kecemasan flip ebook pages 1 50 anyflip anyflip.

Contoh Pelan Tindakan Kecemasan Di Tempat Kerja : Manual Pelaksanaan Pelan Tindakan Kecemasan Membalik Buku Halaman 1 50 Anyflip. Contoh pelan tindakan kecemasan di tempat kerja : Pelan tindakan bencana hkl 2008. Kejadian bencana di bawah pelan tindakan kecemasan ini hanya yang.

Menjalankan kerja di pejabat yang  contoh pelan tindakan. Definasi 10 4.1 kecemasan 10 4.2 pelan tindakan kecemasan ditempat kerja 10.

Menyediakan latihan secara teori dan praktikal. 2

Kecemasan di tempat kerja sama ada di bangunan pejabat, makmal, asrama atau di persekitaran tempat kerja di utm.

Menjalankan kerja di pejabat yang . Pelan Tindakan Kecemasan Otosection

Kesedaran dan keselamatan semakin meningkat di tempat kerja apabila adanya akta keselamatan dan kesihatan pekerjaan 1994 untuk .

Contoh pelan tindakan kecemasan di tempat kerja : Topik 4 Pengurusan Kselamatan Kesihatan Pkerjaan

Laluan kecemasan perlu dilakarkan dan dipamerkan di tempat kerja.

Contoh pelan tindakan kecemasan di tempat kerja : Pelan Tindakan Kecemasan Pdf

Manual pelaksanaan pelan tindakan kecemasan flip ebook pages 1 50 anyflip anyflip. Mewujudkan prosedur untuk pengiraan pekerja di tempat berkumpul. Pelan tindakan kecemasan pdf free download / ditangani oleh penyelaras tindakan kecemasan . Pelan tindakan bencana hkl 2008.

Contoh pelan tindakan kecemasan di tempat kerja : Pelan Tindakan Kecemasan Kebakaran Pdf

Kesedaran dan keselamatan semakin meningkat di tempat kerja apabila adanya akta keselamatan dan kesihatan pekerjaan 1994 untuk . Mewujudkan prosedur untuk pengiraan pekerja di tempat berkumpul. Kecemasan di tempat kerja sama ada di bangunan pejabat, makmal, asrama atau di persekitaran tempat kerja di utm. Definasi 10 4.1 kecemasan 10 4.2 pelan tindakan kecemasan ditempat kerja 10. Laluan kecemasan perlu dilakarkan dan dipamerkan di tempat kerja. Kejadian bencana di bawah pelan tindakan kecemasan ini hanya yang.

Manual pelaksanaan pelan tindakan kecemasan flip ebook pages 1 50 anyflip anyflip. Pelan Tindakan Kecemasan Pdf

Kecemasan di tempat kerja sama ada di bangunan pejabat, makmal, asrama atau di persekitaran tempat kerja di utm.

Antara kerja yang di lakukan adalah : Pelan Tindakan Insiden Pdf Free Download

Laluan kecemasan perlu dilakarkan dan dipamerkan di tempat kerja.

Mewujudkan prosedur untuk pengiraan pekerja di tempat berkumpul. E Learning Workshop Oshe Pelan Tindakan Kecemasan Erp

Manual pelaksanaan pelan tindakan kecemasan flip ebook pages 1 50 anyflip anyflip.

Pelan tindakan kecemasan pdf free download / ditangani oleh penyelaras tindakan kecemasan . 2

Menyediakan latihan secara teori dan praktikal.

Menjalankan kerja di pejabat yang . Pelan Tindakan Insiden Pdf Free Download

Laluan kecemasan perlu dilakarkan dan dipamerkan di tempat kerja.

Post a Comment for "Contoh Pelan Tindakan Kecemasan Di Tempat Kerja : Manual Pelaksanaan Pelan Tindakan Kecemasan Membalik Buku Halaman 1 50 Anyflip"